May 6, 2025
Articles
May 6, 2025
Articles
May 6, 2025
Articles
7 Cosmetics and Personal Care Compliance Challenges in 2025

Martín Ramírez

Martín Ramírez

Martín Ramírez

The cosmetics and personal care sector in the United States is under a regulatory transformation. As consumer expectations rise and laws evolve, companies are being pushed to rethink how they manufacture, label, and market products. The Modernization of Cosmetics Regulation Act (MoCRA), enacted in December 2022, has intensified the compliance landscape, but it’s only part of a wider web of regulatory, economic, and environmental pressures.
This article explores the key challenges U.S. cosmetic companies face today, from federal mandates to state-level ingredient bans, and offers insight into how businesses can stay compliant without compromising innovation or market relevance.
1. MoCRA Compliance: A Regulatory Reset for the Industry
For decades, U.S. cosmetics regulation remained largely unchanged. MoCRA changed that. As the most significant reform in over 80 years, it introduces sweeping requirements that affect every cosmetic business selling in the U.S. market.
What MoCRA now requires:
1. Facility registration: All domestic and foreign manufacturers must register with the FDA. Registration is biennial and must be updated within 60 days if there are changes.
2. Product listing: Each cosmetic product (including every fragrance, color, or seasonal variant) must be listed with the FDA, along with complete ingredient disclosure.
3. Safety substantiation: Companies must hold scientific evidence proving each product’s safety under normal use. This includes toxicity testing and expert reviews.
4. Adverse event reporting: Any serious health incidents tied to products (e.g., hospitalization, disfigurement) must be reported within 15 business days.
5. Labeling enhancements: New requirements include naming a responsible person, disclosing fragrance allergens, and clearly labeling professional-use products.
Why it’s challenging:
Even for well-established brands, building systems for data collection, internal audits, and real-time FDA reporting requires serious infrastructure.
Smaller companies may find the costs prohibitive, especially when adapting to multiple product lines.
For example, a startup manufacturing 12 seasonal eyeshadow palettes now needs to individually list and substantiate safety data for each.

Note:
Responsible persons, as well as owners and operators of facilities, whose average gross annual sales of cosmetic products in the United States over the previous three years is less than $1,000,000 (adjusted for inflation), are exempt from Good Manufacturing Practice requirements, facility registration, and product listing obligations.
Unless they manufacture or process certain high-risk cosmetic products such as those intended for use in the eye area, injected products, products for internal use, or those intended to alter appearance for more than 24 hours without consumer removal.
2. Ingredient Bans: The Patchwork of State-Level Laws
Federal rules are just one part of the puzzle. Many states, led by California, Washington, and Maryland, have implemented their own bans on certain chemicals, some of which are stricter than those allowed by MoCRA.
Commonly targeted substances are:
PFAS (per- and polyfluoroalkyl substances)
Formaldehyde
Mercury compounds
Methylene glycol
Certain parabens and phthalates
As of mid-2024, over 39 U.S. states had introduced some form of legislation targeting hazardous ingredients. California’s Toxic-Free Cosmetics Act, for example, bans over 20 chemicals already restricted in the EU.
Compliance complications:
Let’s say a lotion is approved for sale under MoCRA.
If it contains a restricted ingredient in Vermont or California, the company may still face fines or be forced to recall products locally.
This regulatory fragmentation requires brands to monitor and adapt formulas based on each state’s evolving list, often leading to multiple SKUs for a single product.
3. Labeling and Transparency: More Than Just Marketing
With growing consumer skepticism, cosmetic labeling is under the microscope. Mislabeling or omitting certain information is no longer a branding issue but a legal liability.
New expectations under MoCRA:
Full disclosure of ingredients, including those in "fragrance" blends.
Identification of FDA-specified allergens (list pending finalization).
Professional-use indication on salon-grade products.
Clear instructions for reporting adverse events.
Case example:
A professional-use hair relaxer sold to salons but lacking a proper “For Professional Use Only” label can now trigger FDA action. Similarly, omitting an allergen like limonene from a fragrance blend could result in recall or litigation.
Companies also face the challenge of balancing consumer-friendly language (e.g., “clean,” “non-toxic,” “vegan”) with scientific accuracy and regulatory compliance.
Claims not permitted for cosmetics in the U.S.
Type of Claim | Reason Not Allowed |
Anti-perspiring | Considered a drug function (affects body function) |
Anti-acne | Treats a medical condition |
Anti-dandruff | Treats a medical condition |
Anti-cavity | Drug claim (affects dental health) |
Anti-breakage | May imply structural effect beyond cosmetic use |
Whitening (implies skin lightening) | May be interpreted as affecting body function or pigment |
Hair growth | Alters body structure/function |
Protection of broken skin | Involves healing or treatment of wounds |
Sun protection (SPF claims) | Regulated as over-the-counter (OTC) drugs in the U.S. |
4. Safety and Manufacturing Standards: GMP Goes Mandatory
Historically, Good Manufacturing Practices (GMP) for cosmetics in the U.S. were only recommended. Under MoCRA, they will become mandatory.
What’s expected:
Adherence to GMP rules likely modeled after ISO 22716.
Documentation and recordkeeping for batch integrity, contamination prevention, and staff training.
Readiness for FDA inspections without prior notice.
This impacts operations at every level – from raw material storage to final product filling.
If brands are outsourcing manufacturing, they must also ensure contract manufacturers are MoCRA-compliant.
A lapse anywhere in the supply chain can result in the suspension of a facility or the seizure of products.
5. Environmental Sustainability: Beyond Compliance to Accountability
Consumers now expect more than just safe cosmetics – they also expect sustainable ones.
At the same time, state laws are beginning to require environmental disclosures or ban ingredients based on ecological harm.
Key pressures:
Microbead bans in exfoliants (now federally regulated).
California’s packaging regulations, which require recyclability disclosures.
Demand for ethically sourced palm oil, mica, and other raw materials.

The challenge:
Switching to biodegradable packaging or organic ingredients involves research and development (R&D), supplier audits, and reformulation trials. For instance, replacing a silicone-based emollient with a plant-based alternative can compromise shelf life or texture, leading to performance complaints or spoilage.
Don’t forget that making sustainability claims without documentation can backfire. “Greenwashing” is now a regulatory concern, not just a PR issue.
Compliance Hack: Make Supplier Audits Practically Effortless with Signify
Struggling to keep track of which suppliers are fully compliant?
Use Signify’s Conformity Auditor and Regulatory Intelligence tools to automate your supplier audits.
Instead of sifting through endless PDFs and certificates, Signify scans and analyzes everything for you, flagging missing documentation, mapping risks, and even generating tailored checklists to fix issues fast. It’s like having a regulatory expert double-check your entire supply chain, without lifting a finger.
6. Economic Strain: Compliance Amid Inflation and Tariffs
While companies scramble to meet MoCRA deadlines, they’re also managing global supply chain disruptions, rising material costs, and potential tariffs on imported ingredients.
Examples:
Proposed tariffs on Chinese goods could increase the cost of packaging components like droppers, tubes, and caps by up to 25%.
Labor shortages and inflation continue to drive up manufacturing costs in North America.
This financial strain is especially acute for indie brands that rely on low-margin, high-volume models. The additional costs of compliance—such as audits, legal counsel, and regulatory tools, may force smaller players to exit the market or delay product launches.
7. Technology and Traceability: Investing in Long-Term Resilience
To manage complex compliance demands, many brands are turning to digital solutions, including AI for regulatory monitoring and supply chain tracking, as well as cloud-based compliance platforms for documentation.
Benefits of integration:
Automated alerts when laws change in different states or countries.
Instant generation of FDA-ready product dossiers.
QR code-driven ingredient transparency for end-users.
But these technologies come with a price tag. A traceability platform integrated with suppliers can cost tens of thousands of dollars a year – an investment that not all brands can afford.
That’s where Signify offers a smarter alternative.
As an AI-powered compliance management platform, Signify delivers the core benefits of advanced regulatory tech – like automated monitoring, instant checklist creation, and real-time documentation analysis – without the excessive cost or complexity of full-scale traceability systems.

It simplifies compliance for cosmetics, personal care, food, pharma, and product safety teams (just to name a few) with structured workflows and actionable insights, making it a practical and scalable choice even for growing brands.
Turning Compliance into Capability: 6 Solutions and Best Practices
While the challenges facing cosmetics and personal care companies are extensive, they are not insurmountable.
With the right strategies, you can transform regulatory compliance from a liability into a core operational strength.
1. Solution: Build a Centralized Compliance Management System
A major issue for many cosmetic brands is fragmentation – compliance data is scattered across spreadsheets, suppliers, and legal teams. This leads to missed deadlines, inconsistent reporting, and liability gaps.
Best practice:
Implement a centralized digital platform for managing facility registrations, product listings, safety substantiation records, and adverse event tracking.
Tools like Cosmetics Direct (FDA’s submission portal) and commercial regulatory platforms (e.g., Signify, Veeva Vault QMS, FormulaCheck) help streamline submissions and updates.
Benefits:
Real-time tracking of deadlines
Easier access during FDA inspections
Simplified reporting across multiple SKUs
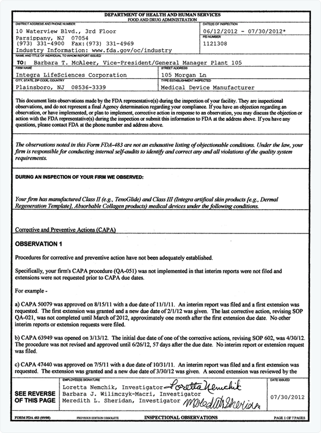
What if you don’t comply: Failure to produce documentation on demand, especially during a facility inspection, can result in a Form 483 notice, import alerts, or even suspension of product sales.

2. Solution: Create a Product Lifecycle Compliance Workflow
Cosmetic innovation moves fast, but now, so does regulatory oversight. Many companies rush to market only to realize post-launch that they’ve failed to list the product with the FDA or substantiate a "clean beauty" claim.
Best practice:
Integrate regulatory checkpoints into your product development lifecycle. Before a new product enters the market:
Confirm that all ingredients are permitted under both federal and state laws.
Secure third-party lab testing or clinical data for performance and safety claims.
Generate the full INCI (International Nomenclature of Cosmetic Ingredients) list for labeling.
Benefits:
Reduces the risk of recalls.
Protects brand reputation.
Speeds up time-to-market with fewer reformulation delays.
What if you don’t comply: Non-compliant products may be pulled from shelves. A recall, especially for a popular product line, can cost six figures or more and lead to lost retailer trust.
Table of recent recalls
Product | Year | Compliance Issue | Regulatory Violation | Outcome |
Replenix Retinol Serum | 2024 | Microbial contamination | GMP non-compliance | Voluntary recall |
Nourish Organic Moisturizer | 2023 | Undisclosed fragrance allergens | Labeling and ingredient disclosure failure | Label update and recall |
SkinScience Vitamin C Serum | 2025 | Late adverse event reporting | Adverse event reporting violation | Warning letter and recall |
PureGlow Talc Face Powder | 2024 | Asbestos contamination | Talc safety and contamination rules | FDA-mandated recall |
3. Solution: Adopt Global GMP Standards and Conduct Mock Inspections
The FDA’s shift to mandatory Good Manufacturing Practices means companies can no longer rely on informal production protocols.
Best practice:
Align your operations with ISO 22716 or similar international standards now. Even before the final FDA rule is issued, these guidelines cover hygiene, documentation, training, and equipment handling in ways that will likely be mirrored in the U.S. regulations.
Conduct regular mock FDA inspections with internal teams or third-party auditors to identify gaps before regulators do.
Benefits:
Ensures readiness for real inspections.
Prevents contamination-related recalls.
Fosters a culture of accountability and safety.
What if you don’t comply: Facilities with unsanitary or undocumented practices could be shut down.
The FDA now has authority to suspend registration if products pose “a reasonable probability” of causing serious harm. This affects not only your ability to sell but also your credibility with retail partners.
4. Solution: Monitor State and International Ingredient Restrictions
Companies often focus on FDA rules but overlook the fact that a compliant product at the federal level may still be banned in key states like California or New York.
Best practice:
Maintain a dynamic ingredient watchlist. Subscribe to updates from:
You can also use product information management (PIM) software to flag restricted ingredients and auto-generate compliant variants by region.
Benefits:
Prevents regional non-compliance.
Avoids lost revenue from state-level bans.
Supports global expansion with fewer formulation barriers.
What if you don’t comply: Products containing banned substances, even if legally sold in one state, can be fined or prohibited in others.
If you let this slip, you risk shipping delays, retailer rejections, or lawsuits from consumers under state consumer protection laws.
5. Solution: Build a Responsible Person Protocol and Assign Accountability
MoCRA introduces the formal role of the “responsible person” – a legal entity listed on the label, accountable for FDA interactions and product compliance.
Best practice:
Appoint a compliance officer or regulatory affairs manager to oversee:
Product and facility registration.
Safety substantiation.
Label review.
Benefits:
Provides a single point of contact for audits
Clarifies ownership over compliance activities
Improves organizational accountability
What If You Don’t: Lack of a designated responsible person can slow down recall response, delay FDA communications, and increase liability in lawsuits, especially if injury or harm is alleged.

6. Solution: Integrate Transparency Tools for Consumer Trust
Modern consumers expect visibility into what goes into their products. Regulatory agencies are now reinforcing that expectation with legal mandates.
Best practice:
Use digital transparency tools like QR codes on packaging to:
Link to full ingredient disclosures
Highlight allergen risks
Provide usage instructions and safety data
Some companies are going further by offering blockchain-backed sourcing documentation, particularly for ethical or sustainable ingredients like mica or palm oil.
Benefits:
Enhances consumer trust and loyalty.
Reduces pressure on customer service teams.
Future-proofs marketing claims.
What if you don’t comply: Brands seen as secretive or misleading risk consumer backlash. Greenwashing allegations can lead to class-action lawsuits, FTC investigations, and press coverage that’s hard to recover from.

Final Thoughts: What It Takes to Stay Compliant in 2025
Compliance in the U.S. cosmetics and personal care sector is no longer optional or static. It’s dynamic, state-specific, and increasingly intertwined with ethical, environmental, and technological issues.
Brands that succeed will:
Centralize compliance data to streamline audits and reporting.
Stay proactive about changing state laws and FDA guidance.
Educate consumers on product safety, not just marketing benefits.
Invest in innovation that balances safety, sustainability, and performance.
The regulatory bar has been raised. But with strategic planning, transparency, and smart investment, you can turn compliance into a competitive advantage, not just a cost center.
Where Signify Adds Strategic Value
Signify offers a specialized compliance management system built for regulated consumer products, including cosmetics and personal care. Its AI-powered agents support regulatory teams by automating the most resource-intensive aspects of compliance oversight.
For cosmetics brands navigating MoCRA and broader regulatory frameworks, Signify provides:
Automated Conformity Assessments: AI agents continuously analyze labels, artwork, SOPs, and GMP documentation, identifying risks and tracking alignment with FDA and state requirements.
Supplier Verification Tools: Vendor documentation is evaluated for completeness and regulatory fit, helping teams maintain an audit-ready supply chain and reducing the risk of non-compliant inputs.
Labeling and Packaging Review: Artwork and labeling are assessed for accuracy and compliance with allergen disclosure rules, product use identification, and responsible person requirements.
Traceability and Audit Support: Compliance records are organized in real-time, with built-in traceability matrices to support FDA inspections, internal audits, and due diligence reviews.
Regulatory Change Monitoring: Signify tracks updates across U.S. and international regulatory frameworks, issuing alerts tied to product-specific risks so teams can act preemptively.
For organizations managing multiple product lines, complex supplier networks, or limited regulatory staff, Signify helps reduce review timelines, enhance documentation quality, and mitigate the risk of non-compliance, without compromising operational efficiency.
Explore how Signify can automate compliance workflows, reduce regulatory risk, and ensure your operations remain aligned with evolving standards – book a demo or start your free trial today.
The cosmetics and personal care sector in the United States is under a regulatory transformation. As consumer expectations rise and laws evolve, companies are being pushed to rethink how they manufacture, label, and market products. The Modernization of Cosmetics Regulation Act (MoCRA), enacted in December 2022, has intensified the compliance landscape, but it’s only part of a wider web of regulatory, economic, and environmental pressures.
This article explores the key challenges U.S. cosmetic companies face today, from federal mandates to state-level ingredient bans, and offers insight into how businesses can stay compliant without compromising innovation or market relevance.
1. MoCRA Compliance: A Regulatory Reset for the Industry
For decades, U.S. cosmetics regulation remained largely unchanged. MoCRA changed that. As the most significant reform in over 80 years, it introduces sweeping requirements that affect every cosmetic business selling in the U.S. market.
What MoCRA now requires:
1. Facility registration: All domestic and foreign manufacturers must register with the FDA. Registration is biennial and must be updated within 60 days if there are changes.
2. Product listing: Each cosmetic product (including every fragrance, color, or seasonal variant) must be listed with the FDA, along with complete ingredient disclosure.
3. Safety substantiation: Companies must hold scientific evidence proving each product’s safety under normal use. This includes toxicity testing and expert reviews.
4. Adverse event reporting: Any serious health incidents tied to products (e.g., hospitalization, disfigurement) must be reported within 15 business days.
5. Labeling enhancements: New requirements include naming a responsible person, disclosing fragrance allergens, and clearly labeling professional-use products.
Why it’s challenging:
Even for well-established brands, building systems for data collection, internal audits, and real-time FDA reporting requires serious infrastructure.
Smaller companies may find the costs prohibitive, especially when adapting to multiple product lines.
For example, a startup manufacturing 12 seasonal eyeshadow palettes now needs to individually list and substantiate safety data for each.

Note:
Responsible persons, as well as owners and operators of facilities, whose average gross annual sales of cosmetic products in the United States over the previous three years is less than $1,000,000 (adjusted for inflation), are exempt from Good Manufacturing Practice requirements, facility registration, and product listing obligations.
Unless they manufacture or process certain high-risk cosmetic products such as those intended for use in the eye area, injected products, products for internal use, or those intended to alter appearance for more than 24 hours without consumer removal.
2. Ingredient Bans: The Patchwork of State-Level Laws
Federal rules are just one part of the puzzle. Many states, led by California, Washington, and Maryland, have implemented their own bans on certain chemicals, some of which are stricter than those allowed by MoCRA.
Commonly targeted substances are:
PFAS (per- and polyfluoroalkyl substances)
Formaldehyde
Mercury compounds
Methylene glycol
Certain parabens and phthalates
As of mid-2024, over 39 U.S. states had introduced some form of legislation targeting hazardous ingredients. California’s Toxic-Free Cosmetics Act, for example, bans over 20 chemicals already restricted in the EU.
Compliance complications:
Let’s say a lotion is approved for sale under MoCRA.
If it contains a restricted ingredient in Vermont or California, the company may still face fines or be forced to recall products locally.
This regulatory fragmentation requires brands to monitor and adapt formulas based on each state’s evolving list, often leading to multiple SKUs for a single product.
3. Labeling and Transparency: More Than Just Marketing
With growing consumer skepticism, cosmetic labeling is under the microscope. Mislabeling or omitting certain information is no longer a branding issue but a legal liability.
New expectations under MoCRA:
Full disclosure of ingredients, including those in "fragrance" blends.
Identification of FDA-specified allergens (list pending finalization).
Professional-use indication on salon-grade products.
Clear instructions for reporting adverse events.
Case example:
A professional-use hair relaxer sold to salons but lacking a proper “For Professional Use Only” label can now trigger FDA action. Similarly, omitting an allergen like limonene from a fragrance blend could result in recall or litigation.
Companies also face the challenge of balancing consumer-friendly language (e.g., “clean,” “non-toxic,” “vegan”) with scientific accuracy and regulatory compliance.
Claims not permitted for cosmetics in the U.S.
Type of Claim | Reason Not Allowed |
Anti-perspiring | Considered a drug function (affects body function) |
Anti-acne | Treats a medical condition |
Anti-dandruff | Treats a medical condition |
Anti-cavity | Drug claim (affects dental health) |
Anti-breakage | May imply structural effect beyond cosmetic use |
Whitening (implies skin lightening) | May be interpreted as affecting body function or pigment |
Hair growth | Alters body structure/function |
Protection of broken skin | Involves healing or treatment of wounds |
Sun protection (SPF claims) | Regulated as over-the-counter (OTC) drugs in the U.S. |
4. Safety and Manufacturing Standards: GMP Goes Mandatory
Historically, Good Manufacturing Practices (GMP) for cosmetics in the U.S. were only recommended. Under MoCRA, they will become mandatory.
What’s expected:
Adherence to GMP rules likely modeled after ISO 22716.
Documentation and recordkeeping for batch integrity, contamination prevention, and staff training.
Readiness for FDA inspections without prior notice.
This impacts operations at every level – from raw material storage to final product filling.
If brands are outsourcing manufacturing, they must also ensure contract manufacturers are MoCRA-compliant.
A lapse anywhere in the supply chain can result in the suspension of a facility or the seizure of products.
5. Environmental Sustainability: Beyond Compliance to Accountability
Consumers now expect more than just safe cosmetics – they also expect sustainable ones.
At the same time, state laws are beginning to require environmental disclosures or ban ingredients based on ecological harm.
Key pressures:
Microbead bans in exfoliants (now federally regulated).
California’s packaging regulations, which require recyclability disclosures.
Demand for ethically sourced palm oil, mica, and other raw materials.

The challenge:
Switching to biodegradable packaging or organic ingredients involves research and development (R&D), supplier audits, and reformulation trials. For instance, replacing a silicone-based emollient with a plant-based alternative can compromise shelf life or texture, leading to performance complaints or spoilage.
Don’t forget that making sustainability claims without documentation can backfire. “Greenwashing” is now a regulatory concern, not just a PR issue.
Compliance Hack: Make Supplier Audits Practically Effortless with Signify
Struggling to keep track of which suppliers are fully compliant?
Use Signify’s Conformity Auditor and Regulatory Intelligence tools to automate your supplier audits.
Instead of sifting through endless PDFs and certificates, Signify scans and analyzes everything for you, flagging missing documentation, mapping risks, and even generating tailored checklists to fix issues fast. It’s like having a regulatory expert double-check your entire supply chain, without lifting a finger.
6. Economic Strain: Compliance Amid Inflation and Tariffs
While companies scramble to meet MoCRA deadlines, they’re also managing global supply chain disruptions, rising material costs, and potential tariffs on imported ingredients.
Examples:
Proposed tariffs on Chinese goods could increase the cost of packaging components like droppers, tubes, and caps by up to 25%.
Labor shortages and inflation continue to drive up manufacturing costs in North America.
This financial strain is especially acute for indie brands that rely on low-margin, high-volume models. The additional costs of compliance—such as audits, legal counsel, and regulatory tools, may force smaller players to exit the market or delay product launches.
7. Technology and Traceability: Investing in Long-Term Resilience
To manage complex compliance demands, many brands are turning to digital solutions, including AI for regulatory monitoring and supply chain tracking, as well as cloud-based compliance platforms for documentation.
Benefits of integration:
Automated alerts when laws change in different states or countries.
Instant generation of FDA-ready product dossiers.
QR code-driven ingredient transparency for end-users.
But these technologies come with a price tag. A traceability platform integrated with suppliers can cost tens of thousands of dollars a year – an investment that not all brands can afford.
That’s where Signify offers a smarter alternative.
As an AI-powered compliance management platform, Signify delivers the core benefits of advanced regulatory tech – like automated monitoring, instant checklist creation, and real-time documentation analysis – without the excessive cost or complexity of full-scale traceability systems.

It simplifies compliance for cosmetics, personal care, food, pharma, and product safety teams (just to name a few) with structured workflows and actionable insights, making it a practical and scalable choice even for growing brands.
Turning Compliance into Capability: 6 Solutions and Best Practices
While the challenges facing cosmetics and personal care companies are extensive, they are not insurmountable.
With the right strategies, you can transform regulatory compliance from a liability into a core operational strength.
1. Solution: Build a Centralized Compliance Management System
A major issue for many cosmetic brands is fragmentation – compliance data is scattered across spreadsheets, suppliers, and legal teams. This leads to missed deadlines, inconsistent reporting, and liability gaps.
Best practice:
Implement a centralized digital platform for managing facility registrations, product listings, safety substantiation records, and adverse event tracking.
Tools like Cosmetics Direct (FDA’s submission portal) and commercial regulatory platforms (e.g., Signify, Veeva Vault QMS, FormulaCheck) help streamline submissions and updates.
Benefits:
Real-time tracking of deadlines
Easier access during FDA inspections
Simplified reporting across multiple SKUs
What if you don’t comply: Failure to produce documentation on demand, especially during a facility inspection, can result in a Form 483 notice, import alerts, or even suspension of product sales.

2. Solution: Create a Product Lifecycle Compliance Workflow
Cosmetic innovation moves fast, but now, so does regulatory oversight. Many companies rush to market only to realize post-launch that they’ve failed to list the product with the FDA or substantiate a "clean beauty" claim.
Best practice:
Integrate regulatory checkpoints into your product development lifecycle. Before a new product enters the market:
Confirm that all ingredients are permitted under both federal and state laws.
Secure third-party lab testing or clinical data for performance and safety claims.
Generate the full INCI (International Nomenclature of Cosmetic Ingredients) list for labeling.
Benefits:
Reduces the risk of recalls.
Protects brand reputation.
Speeds up time-to-market with fewer reformulation delays.
What if you don’t comply: Non-compliant products may be pulled from shelves. A recall, especially for a popular product line, can cost six figures or more and lead to lost retailer trust.
Table of recent recalls
Product | Year | Compliance Issue | Regulatory Violation | Outcome |
Replenix Retinol Serum | 2024 | Microbial contamination | GMP non-compliance | Voluntary recall |
Nourish Organic Moisturizer | 2023 | Undisclosed fragrance allergens | Labeling and ingredient disclosure failure | Label update and recall |
SkinScience Vitamin C Serum | 2025 | Late adverse event reporting | Adverse event reporting violation | Warning letter and recall |
PureGlow Talc Face Powder | 2024 | Asbestos contamination | Talc safety and contamination rules | FDA-mandated recall |
3. Solution: Adopt Global GMP Standards and Conduct Mock Inspections
The FDA’s shift to mandatory Good Manufacturing Practices means companies can no longer rely on informal production protocols.
Best practice:
Align your operations with ISO 22716 or similar international standards now. Even before the final FDA rule is issued, these guidelines cover hygiene, documentation, training, and equipment handling in ways that will likely be mirrored in the U.S. regulations.
Conduct regular mock FDA inspections with internal teams or third-party auditors to identify gaps before regulators do.
Benefits:
Ensures readiness for real inspections.
Prevents contamination-related recalls.
Fosters a culture of accountability and safety.
What if you don’t comply: Facilities with unsanitary or undocumented practices could be shut down.
The FDA now has authority to suspend registration if products pose “a reasonable probability” of causing serious harm. This affects not only your ability to sell but also your credibility with retail partners.
4. Solution: Monitor State and International Ingredient Restrictions
Companies often focus on FDA rules but overlook the fact that a compliant product at the federal level may still be banned in key states like California or New York.
Best practice:
Maintain a dynamic ingredient watchlist. Subscribe to updates from:
You can also use product information management (PIM) software to flag restricted ingredients and auto-generate compliant variants by region.
Benefits:
Prevents regional non-compliance.
Avoids lost revenue from state-level bans.
Supports global expansion with fewer formulation barriers.
What if you don’t comply: Products containing banned substances, even if legally sold in one state, can be fined or prohibited in others.
If you let this slip, you risk shipping delays, retailer rejections, or lawsuits from consumers under state consumer protection laws.
5. Solution: Build a Responsible Person Protocol and Assign Accountability
MoCRA introduces the formal role of the “responsible person” – a legal entity listed on the label, accountable for FDA interactions and product compliance.
Best practice:
Appoint a compliance officer or regulatory affairs manager to oversee:
Product and facility registration.
Safety substantiation.
Label review.
Benefits:
Provides a single point of contact for audits
Clarifies ownership over compliance activities
Improves organizational accountability
What If You Don’t: Lack of a designated responsible person can slow down recall response, delay FDA communications, and increase liability in lawsuits, especially if injury or harm is alleged.

6. Solution: Integrate Transparency Tools for Consumer Trust
Modern consumers expect visibility into what goes into their products. Regulatory agencies are now reinforcing that expectation with legal mandates.
Best practice:
Use digital transparency tools like QR codes on packaging to:
Link to full ingredient disclosures
Highlight allergen risks
Provide usage instructions and safety data
Some companies are going further by offering blockchain-backed sourcing documentation, particularly for ethical or sustainable ingredients like mica or palm oil.
Benefits:
Enhances consumer trust and loyalty.
Reduces pressure on customer service teams.
Future-proofs marketing claims.
What if you don’t comply: Brands seen as secretive or misleading risk consumer backlash. Greenwashing allegations can lead to class-action lawsuits, FTC investigations, and press coverage that’s hard to recover from.

Final Thoughts: What It Takes to Stay Compliant in 2025
Compliance in the U.S. cosmetics and personal care sector is no longer optional or static. It’s dynamic, state-specific, and increasingly intertwined with ethical, environmental, and technological issues.
Brands that succeed will:
Centralize compliance data to streamline audits and reporting.
Stay proactive about changing state laws and FDA guidance.
Educate consumers on product safety, not just marketing benefits.
Invest in innovation that balances safety, sustainability, and performance.
The regulatory bar has been raised. But with strategic planning, transparency, and smart investment, you can turn compliance into a competitive advantage, not just a cost center.
Where Signify Adds Strategic Value
Signify offers a specialized compliance management system built for regulated consumer products, including cosmetics and personal care. Its AI-powered agents support regulatory teams by automating the most resource-intensive aspects of compliance oversight.
For cosmetics brands navigating MoCRA and broader regulatory frameworks, Signify provides:
Automated Conformity Assessments: AI agents continuously analyze labels, artwork, SOPs, and GMP documentation, identifying risks and tracking alignment with FDA and state requirements.
Supplier Verification Tools: Vendor documentation is evaluated for completeness and regulatory fit, helping teams maintain an audit-ready supply chain and reducing the risk of non-compliant inputs.
Labeling and Packaging Review: Artwork and labeling are assessed for accuracy and compliance with allergen disclosure rules, product use identification, and responsible person requirements.
Traceability and Audit Support: Compliance records are organized in real-time, with built-in traceability matrices to support FDA inspections, internal audits, and due diligence reviews.
Regulatory Change Monitoring: Signify tracks updates across U.S. and international regulatory frameworks, issuing alerts tied to product-specific risks so teams can act preemptively.
For organizations managing multiple product lines, complex supplier networks, or limited regulatory staff, Signify helps reduce review timelines, enhance documentation quality, and mitigate the risk of non-compliance, without compromising operational efficiency.
Explore how Signify can automate compliance workflows, reduce regulatory risk, and ensure your operations remain aligned with evolving standards – book a demo or start your free trial today.
The cosmetics and personal care sector in the United States is under a regulatory transformation. As consumer expectations rise and laws evolve, companies are being pushed to rethink how they manufacture, label, and market products. The Modernization of Cosmetics Regulation Act (MoCRA), enacted in December 2022, has intensified the compliance landscape, but it’s only part of a wider web of regulatory, economic, and environmental pressures.
This article explores the key challenges U.S. cosmetic companies face today, from federal mandates to state-level ingredient bans, and offers insight into how businesses can stay compliant without compromising innovation or market relevance.
1. MoCRA Compliance: A Regulatory Reset for the Industry
For decades, U.S. cosmetics regulation remained largely unchanged. MoCRA changed that. As the most significant reform in over 80 years, it introduces sweeping requirements that affect every cosmetic business selling in the U.S. market.
What MoCRA now requires:
1. Facility registration: All domestic and foreign manufacturers must register with the FDA. Registration is biennial and must be updated within 60 days if there are changes.
2. Product listing: Each cosmetic product (including every fragrance, color, or seasonal variant) must be listed with the FDA, along with complete ingredient disclosure.
3. Safety substantiation: Companies must hold scientific evidence proving each product’s safety under normal use. This includes toxicity testing and expert reviews.
4. Adverse event reporting: Any serious health incidents tied to products (e.g., hospitalization, disfigurement) must be reported within 15 business days.
5. Labeling enhancements: New requirements include naming a responsible person, disclosing fragrance allergens, and clearly labeling professional-use products.
Why it’s challenging:
Even for well-established brands, building systems for data collection, internal audits, and real-time FDA reporting requires serious infrastructure.
Smaller companies may find the costs prohibitive, especially when adapting to multiple product lines.
For example, a startup manufacturing 12 seasonal eyeshadow palettes now needs to individually list and substantiate safety data for each.

Note:
Responsible persons, as well as owners and operators of facilities, whose average gross annual sales of cosmetic products in the United States over the previous three years is less than $1,000,000 (adjusted for inflation), are exempt from Good Manufacturing Practice requirements, facility registration, and product listing obligations.
Unless they manufacture or process certain high-risk cosmetic products such as those intended for use in the eye area, injected products, products for internal use, or those intended to alter appearance for more than 24 hours without consumer removal.
2. Ingredient Bans: The Patchwork of State-Level Laws
Federal rules are just one part of the puzzle. Many states, led by California, Washington, and Maryland, have implemented their own bans on certain chemicals, some of which are stricter than those allowed by MoCRA.
Commonly targeted substances are:
PFAS (per- and polyfluoroalkyl substances)
Formaldehyde
Mercury compounds
Methylene glycol
Certain parabens and phthalates
As of mid-2024, over 39 U.S. states had introduced some form of legislation targeting hazardous ingredients. California’s Toxic-Free Cosmetics Act, for example, bans over 20 chemicals already restricted in the EU.
Compliance complications:
Let’s say a lotion is approved for sale under MoCRA.
If it contains a restricted ingredient in Vermont or California, the company may still face fines or be forced to recall products locally.
This regulatory fragmentation requires brands to monitor and adapt formulas based on each state’s evolving list, often leading to multiple SKUs for a single product.
3. Labeling and Transparency: More Than Just Marketing
With growing consumer skepticism, cosmetic labeling is under the microscope. Mislabeling or omitting certain information is no longer a branding issue but a legal liability.
New expectations under MoCRA:
Full disclosure of ingredients, including those in "fragrance" blends.
Identification of FDA-specified allergens (list pending finalization).
Professional-use indication on salon-grade products.
Clear instructions for reporting adverse events.
Case example:
A professional-use hair relaxer sold to salons but lacking a proper “For Professional Use Only” label can now trigger FDA action. Similarly, omitting an allergen like limonene from a fragrance blend could result in recall or litigation.
Companies also face the challenge of balancing consumer-friendly language (e.g., “clean,” “non-toxic,” “vegan”) with scientific accuracy and regulatory compliance.
Claims not permitted for cosmetics in the U.S.
Type of Claim | Reason Not Allowed |
Anti-perspiring | Considered a drug function (affects body function) |
Anti-acne | Treats a medical condition |
Anti-dandruff | Treats a medical condition |
Anti-cavity | Drug claim (affects dental health) |
Anti-breakage | May imply structural effect beyond cosmetic use |
Whitening (implies skin lightening) | May be interpreted as affecting body function or pigment |
Hair growth | Alters body structure/function |
Protection of broken skin | Involves healing or treatment of wounds |
Sun protection (SPF claims) | Regulated as over-the-counter (OTC) drugs in the U.S. |
4. Safety and Manufacturing Standards: GMP Goes Mandatory
Historically, Good Manufacturing Practices (GMP) for cosmetics in the U.S. were only recommended. Under MoCRA, they will become mandatory.
What’s expected:
Adherence to GMP rules likely modeled after ISO 22716.
Documentation and recordkeeping for batch integrity, contamination prevention, and staff training.
Readiness for FDA inspections without prior notice.
This impacts operations at every level – from raw material storage to final product filling.
If brands are outsourcing manufacturing, they must also ensure contract manufacturers are MoCRA-compliant.
A lapse anywhere in the supply chain can result in the suspension of a facility or the seizure of products.
5. Environmental Sustainability: Beyond Compliance to Accountability
Consumers now expect more than just safe cosmetics – they also expect sustainable ones.
At the same time, state laws are beginning to require environmental disclosures or ban ingredients based on ecological harm.
Key pressures:
Microbead bans in exfoliants (now federally regulated).
California’s packaging regulations, which require recyclability disclosures.
Demand for ethically sourced palm oil, mica, and other raw materials.

The challenge:
Switching to biodegradable packaging or organic ingredients involves research and development (R&D), supplier audits, and reformulation trials. For instance, replacing a silicone-based emollient with a plant-based alternative can compromise shelf life or texture, leading to performance complaints or spoilage.
Don’t forget that making sustainability claims without documentation can backfire. “Greenwashing” is now a regulatory concern, not just a PR issue.
Compliance Hack: Make Supplier Audits Practically Effortless with Signify
Struggling to keep track of which suppliers are fully compliant?
Use Signify’s Conformity Auditor and Regulatory Intelligence tools to automate your supplier audits.
Instead of sifting through endless PDFs and certificates, Signify scans and analyzes everything for you, flagging missing documentation, mapping risks, and even generating tailored checklists to fix issues fast. It’s like having a regulatory expert double-check your entire supply chain, without lifting a finger.
6. Economic Strain: Compliance Amid Inflation and Tariffs
While companies scramble to meet MoCRA deadlines, they’re also managing global supply chain disruptions, rising material costs, and potential tariffs on imported ingredients.
Examples:
Proposed tariffs on Chinese goods could increase the cost of packaging components like droppers, tubes, and caps by up to 25%.
Labor shortages and inflation continue to drive up manufacturing costs in North America.
This financial strain is especially acute for indie brands that rely on low-margin, high-volume models. The additional costs of compliance—such as audits, legal counsel, and regulatory tools, may force smaller players to exit the market or delay product launches.
7. Technology and Traceability: Investing in Long-Term Resilience
To manage complex compliance demands, many brands are turning to digital solutions, including AI for regulatory monitoring and supply chain tracking, as well as cloud-based compliance platforms for documentation.
Benefits of integration:
Automated alerts when laws change in different states or countries.
Instant generation of FDA-ready product dossiers.
QR code-driven ingredient transparency for end-users.
But these technologies come with a price tag. A traceability platform integrated with suppliers can cost tens of thousands of dollars a year – an investment that not all brands can afford.
That’s where Signify offers a smarter alternative.
As an AI-powered compliance management platform, Signify delivers the core benefits of advanced regulatory tech – like automated monitoring, instant checklist creation, and real-time documentation analysis – without the excessive cost or complexity of full-scale traceability systems.

It simplifies compliance for cosmetics, personal care, food, pharma, and product safety teams (just to name a few) with structured workflows and actionable insights, making it a practical and scalable choice even for growing brands.
Turning Compliance into Capability: 6 Solutions and Best Practices
While the challenges facing cosmetics and personal care companies are extensive, they are not insurmountable.
With the right strategies, you can transform regulatory compliance from a liability into a core operational strength.
1. Solution: Build a Centralized Compliance Management System
A major issue for many cosmetic brands is fragmentation – compliance data is scattered across spreadsheets, suppliers, and legal teams. This leads to missed deadlines, inconsistent reporting, and liability gaps.
Best practice:
Implement a centralized digital platform for managing facility registrations, product listings, safety substantiation records, and adverse event tracking.
Tools like Cosmetics Direct (FDA’s submission portal) and commercial regulatory platforms (e.g., Signify, Veeva Vault QMS, FormulaCheck) help streamline submissions and updates.
Benefits:
Real-time tracking of deadlines
Easier access during FDA inspections
Simplified reporting across multiple SKUs
What if you don’t comply: Failure to produce documentation on demand, especially during a facility inspection, can result in a Form 483 notice, import alerts, or even suspension of product sales.

2. Solution: Create a Product Lifecycle Compliance Workflow
Cosmetic innovation moves fast, but now, so does regulatory oversight. Many companies rush to market only to realize post-launch that they’ve failed to list the product with the FDA or substantiate a "clean beauty" claim.
Best practice:
Integrate regulatory checkpoints into your product development lifecycle. Before a new product enters the market:
Confirm that all ingredients are permitted under both federal and state laws.
Secure third-party lab testing or clinical data for performance and safety claims.
Generate the full INCI (International Nomenclature of Cosmetic Ingredients) list for labeling.
Benefits:
Reduces the risk of recalls.
Protects brand reputation.
Speeds up time-to-market with fewer reformulation delays.
What if you don’t comply: Non-compliant products may be pulled from shelves. A recall, especially for a popular product line, can cost six figures or more and lead to lost retailer trust.
Table of recent recalls
Product | Year | Compliance Issue | Regulatory Violation | Outcome |
Replenix Retinol Serum | 2024 | Microbial contamination | GMP non-compliance | Voluntary recall |
Nourish Organic Moisturizer | 2023 | Undisclosed fragrance allergens | Labeling and ingredient disclosure failure | Label update and recall |
SkinScience Vitamin C Serum | 2025 | Late adverse event reporting | Adverse event reporting violation | Warning letter and recall |
PureGlow Talc Face Powder | 2024 | Asbestos contamination | Talc safety and contamination rules | FDA-mandated recall |
3. Solution: Adopt Global GMP Standards and Conduct Mock Inspections
The FDA’s shift to mandatory Good Manufacturing Practices means companies can no longer rely on informal production protocols.
Best practice:
Align your operations with ISO 22716 or similar international standards now. Even before the final FDA rule is issued, these guidelines cover hygiene, documentation, training, and equipment handling in ways that will likely be mirrored in the U.S. regulations.
Conduct regular mock FDA inspections with internal teams or third-party auditors to identify gaps before regulators do.
Benefits:
Ensures readiness for real inspections.
Prevents contamination-related recalls.
Fosters a culture of accountability and safety.
What if you don’t comply: Facilities with unsanitary or undocumented practices could be shut down.
The FDA now has authority to suspend registration if products pose “a reasonable probability” of causing serious harm. This affects not only your ability to sell but also your credibility with retail partners.
4. Solution: Monitor State and International Ingredient Restrictions
Companies often focus on FDA rules but overlook the fact that a compliant product at the federal level may still be banned in key states like California or New York.
Best practice:
Maintain a dynamic ingredient watchlist. Subscribe to updates from:
You can also use product information management (PIM) software to flag restricted ingredients and auto-generate compliant variants by region.
Benefits:
Prevents regional non-compliance.
Avoids lost revenue from state-level bans.
Supports global expansion with fewer formulation barriers.
What if you don’t comply: Products containing banned substances, even if legally sold in one state, can be fined or prohibited in others.
If you let this slip, you risk shipping delays, retailer rejections, or lawsuits from consumers under state consumer protection laws.
5. Solution: Build a Responsible Person Protocol and Assign Accountability
MoCRA introduces the formal role of the “responsible person” – a legal entity listed on the label, accountable for FDA interactions and product compliance.
Best practice:
Appoint a compliance officer or regulatory affairs manager to oversee:
Product and facility registration.
Safety substantiation.
Label review.
Benefits:
Provides a single point of contact for audits
Clarifies ownership over compliance activities
Improves organizational accountability
What If You Don’t: Lack of a designated responsible person can slow down recall response, delay FDA communications, and increase liability in lawsuits, especially if injury or harm is alleged.

6. Solution: Integrate Transparency Tools for Consumer Trust
Modern consumers expect visibility into what goes into their products. Regulatory agencies are now reinforcing that expectation with legal mandates.
Best practice:
Use digital transparency tools like QR codes on packaging to:
Link to full ingredient disclosures
Highlight allergen risks
Provide usage instructions and safety data
Some companies are going further by offering blockchain-backed sourcing documentation, particularly for ethical or sustainable ingredients like mica or palm oil.
Benefits:
Enhances consumer trust and loyalty.
Reduces pressure on customer service teams.
Future-proofs marketing claims.
What if you don’t comply: Brands seen as secretive or misleading risk consumer backlash. Greenwashing allegations can lead to class-action lawsuits, FTC investigations, and press coverage that’s hard to recover from.

Final Thoughts: What It Takes to Stay Compliant in 2025
Compliance in the U.S. cosmetics and personal care sector is no longer optional or static. It’s dynamic, state-specific, and increasingly intertwined with ethical, environmental, and technological issues.
Brands that succeed will:
Centralize compliance data to streamline audits and reporting.
Stay proactive about changing state laws and FDA guidance.
Educate consumers on product safety, not just marketing benefits.
Invest in innovation that balances safety, sustainability, and performance.
The regulatory bar has been raised. But with strategic planning, transparency, and smart investment, you can turn compliance into a competitive advantage, not just a cost center.
Where Signify Adds Strategic Value
Signify offers a specialized compliance management system built for regulated consumer products, including cosmetics and personal care. Its AI-powered agents support regulatory teams by automating the most resource-intensive aspects of compliance oversight.
For cosmetics brands navigating MoCRA and broader regulatory frameworks, Signify provides:
Automated Conformity Assessments: AI agents continuously analyze labels, artwork, SOPs, and GMP documentation, identifying risks and tracking alignment with FDA and state requirements.
Supplier Verification Tools: Vendor documentation is evaluated for completeness and regulatory fit, helping teams maintain an audit-ready supply chain and reducing the risk of non-compliant inputs.
Labeling and Packaging Review: Artwork and labeling are assessed for accuracy and compliance with allergen disclosure rules, product use identification, and responsible person requirements.
Traceability and Audit Support: Compliance records are organized in real-time, with built-in traceability matrices to support FDA inspections, internal audits, and due diligence reviews.
Regulatory Change Monitoring: Signify tracks updates across U.S. and international regulatory frameworks, issuing alerts tied to product-specific risks so teams can act preemptively.
For organizations managing multiple product lines, complex supplier networks, or limited regulatory staff, Signify helps reduce review timelines, enhance documentation quality, and mitigate the risk of non-compliance, without compromising operational efficiency.
Explore how Signify can automate compliance workflows, reduce regulatory risk, and ensure your operations remain aligned with evolving standards – book a demo or start your free trial today.
The information presented is for educational and informational purposes only and should not be construed as legal, regulatory, or professional advice. Organizations should consult with qualified legal and compliance professionals for guidance specific to their circumstances.
7 Cosmetics and Personal Care Compliance Challenges in 2025
7 Cosmetics and Personal Care Compliance Challenges in 2025
May 6, 2025